Alex Rawlings

computational astrophysicist




About Me


I am a post-doctoral astrophysicist at the Max Planck Institute for Astrophysics in Munich, primarily investigating supermassive black hole (SMBH) dynamics at the centres of galaxies. By developing and analysing computational models that capture the complex interactions between SMBHs and their host galaxies, we aim to provide predictions for the gravitational wave emission of merging SMBHs to be detected by the upcoming Laser Interferometer Space Antenna (LISA). Gravitational waves are an exciting new avenue with which we can observe the Universe, and will allow us to understand SMBH evolution with unprecedented detail.

I graduated from my Bachelor's in physics at the University of Southern Queensland (Australia), before completing a summer internship at the University of Sydney working with the SAMI team, looking at properties of nearby galaxies. I then moved to the University of Helsinki (Finland) to study my Master's in astrophysics in 2019, and defended my doctoral studies in astrophysics under Prof. Peter Johansson in 2025 in the Theoretical Extragalactic Research Group (TERG).

In addition to astrophysics, I have a keen interest in Bayesian statistics. The computer simulations we use generate vast quantities of data, and only with a sound understanding of statistics can we draw actionable conclusions from our data.

Outside of the academic world I enjoy cooking, albeit with mixed success. It's an iterative process, but there's something incredibly satisfying about putting together a tasty meal. For a while now I've been learning Lindy Hop: 1920's swing dancing. It's immense fun, and a fantastic community to be a part of. Additionally, I enjoy working out in the gym - which is also very useful for strengthening the mind-muscle connection in dance.



Featured Article: Detections of Recoiling Supermassive Black Holes from Simulations

The coalescence of two spinning supermassive black holes (SMBHs) results in the merged SMBH being kicked out from the centre of the galaxy surrounded by a cluster of stars - a black hole recoil cluster (BRC). We assess the detectability of this phenomenon for large-scale extragalactic surveys such as Euclid, from which targeted follow-up kinematic observations can be done to confirm the presence of an off-centred SMBH. An increased velocity dispersion coinciding with the BRC, detectable with upcoming Extrememly Large Telescope instruments such as MICADO, offer our best chances of confirming these objects. Using Gaussian process regression and transformation sampling, we predict that there should be approximately 8000 such BRCs detectable out to redshift 0.6. The full details of the study can be found in the article Caught in the act: detections of recoiling supermassive black holes from simulations.


Featured Article: Identifying Supermassive Black Hole Recoil

When two supermassive black holes (SMBHs) coalesce during a merger of galaxies, general relativistic effects impart a ‘recoil velocity’ to the remnant SMBH, which can expel the SMBH to large, kiloparsec-scale distances. We run numerical simulations of merging massive elliptical galaxies, testing a number of recoil velocities, and use Bayesian hierarchical inference to determine how the stellar mass reacts to the recoiling SMBH. We additionally detect a kinematic signature, brought about by non angular momentum-conserving stellar orbits, which can uniquely constrain how much stellar mass was lost from the centre before the recoil velocity occurred, allowing us to infer the corresponding recoil velocity. The full details of the study can be found in the article Identifying supermassive black hole recoil in elliptical galaxies.


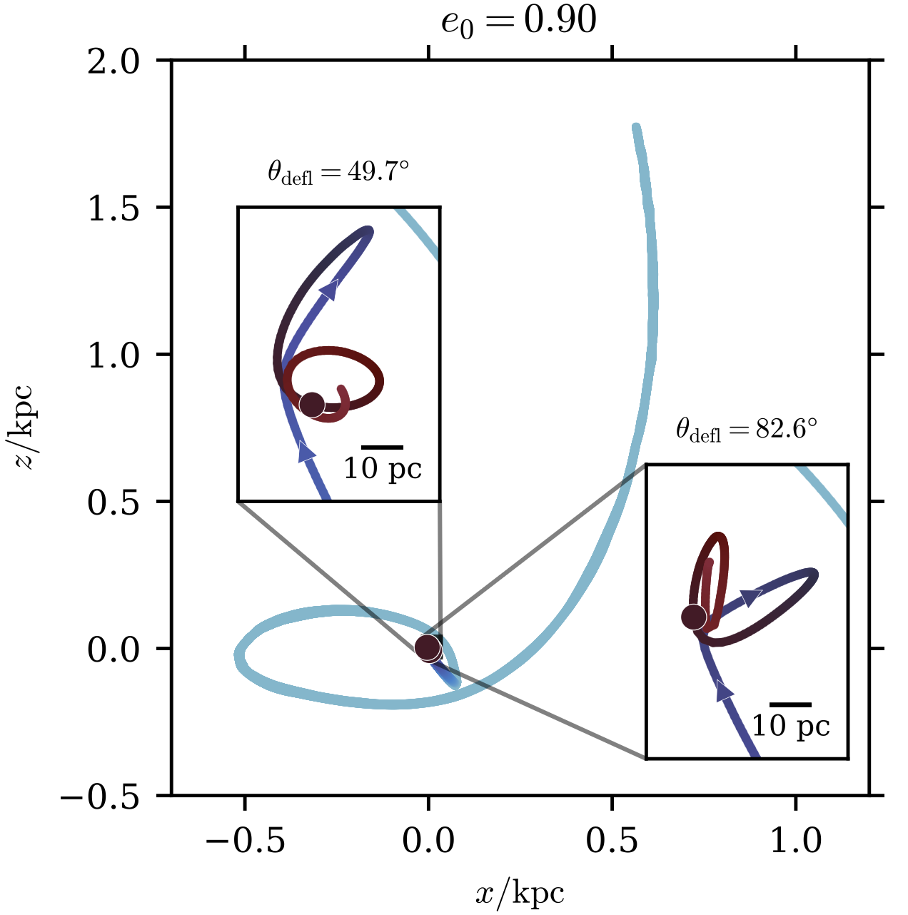
Featured Article: Binary Eccentricity is Stochastic

Computer simulations of galaxy mergers are affected by the discretisation of the phase space: the exact positions and velocities of particles will influence the orbital dynamics of the supermassive black holes in the system. Increasing the number of particles used to represent the galaxy merger reduces the uncertainty in the impact parameter of the two SMBHs, but this does not necessarily translate to a convergence in the SMBH eccentricity. The full details of the study can be found in the article Reviving stochasticity: uncertainty in SMBH binary eccentricity is unavoidable.


Featured Article: Spin Ellipticity Tracks

The advent of integral field unit spectroscopy allows us to combine both morphological and kinematic data of galaxies. By studying how the ellipticity and spin parameter vary with radius, different galaxy types can be revealed that would not necessarily be distinguishable with just photometry or kinematics alone. The full details of the study can be found in the article The SAMI Galaxy Survey: rules of behaviour for spin-ellipticity radial tracks in galaxies.


All Publications

I have been involved in a number of publications, both as a first and a contributing author. All refereed scientific publications I have been involved with can be found here.


Conferences and Meetings

2025

  • Conference participant: Durham Advanced School on Astrophysical Simulations, (Durham, UK)
  • Conference participant: Young Astronomers on Galactic Nuclei, (Southhampton, UK)
  • Conference organiser: Advancing Black Hole Modelling across Galactic Scales, (Helsinki, FI)
  • Conference participant: Dancing in the Dark, (Sesto, IT)
  • Collaboration visit: Max Planck Institute for Astrophysics, (Garching, DE)

2024

  • Conference participant: LISA Astrophysics Working Group Meeting, (Garching, DE)
  • Conference participant: Young Astronomers on Galactic Nuclei, (Como, IT)
  • Collaboration visit: Max Planck Institute for Astrophysics, (Garching, DE)
  • Conference participant: Finnish Astronomers’ Days, (Vaasa, FI)
  • Conference participant: Building Galaxies from Scratch, (Vienna, AT)

2023

  • Conference participant: LISA Astrophysics Working Group Meeting, (Milan, IT)
  • Conference participant: BayesComp, (Levi, FI)
  • Conference participant: Nordic Winter School on Gravitational Astrophysics, (Skeikampen, NO)

2022

  • Collaboration visit: Max Planck Institute for Astrophysics, (Garching, DE)
  • Conference participant: Finnish Astronomers’ Days, (Jyväskylä, FI)

My doctoral studies

I defended my PhD thesis titled “Supermassive black hole dynamics in massive early-type galaxies” on November 28th 2025. The thesis can be found here for your perusal.
If you are interested in any of the codes used to generate the figures in the thesis, they can be found in the git repository.

The first-author papers discussed in the thesis are:

The second-author papers discussed in the thesis are:


Curriculum Vitae

My full curriculum vitae can be found here (last updated 01.08.2025).